CTR&RAMP2 β-Arrestin CHO
CBP71492
| I. Background | |
|
降鈣素基因相關肽(CGRP)家族包括 CGRP 本身、降鈣素(CT)、腎上腺髓質素 (AM)和胰島淀粉樣肽(AMY)。 |
|
| II. Description | |
|
CTR&RAMP2 β-Arrestin CHO 報告基因藥靶模型很好的模擬了體內 CTR&RAMP2/β- Arrestin 的信號轉導過程,原理見下圖所 示 。 當 缺 乏 配 體 刺 激 時 , β-Arrestin 不與CTR&RAMP2 結合,融合β-Arrestin 的熒光素酶處于失活構象;當 CTR&RAMP2 遭遇配體 刺激時,融合熒光素酶報告基因的β-Arrestin 被招募,使熒光素酶報告基因處于激活狀態, 加入其底物后發光信號增強。 |
|
![]() Figure 1. CTR&RAMP2 β-Arrestin CHO 細胞模型原理圖
|
|
| III. Introduction | |
| Expressed gene: | CTR |
| Stability: | 32 passages (in-house test, that not means the cell line will be instable beyond the passages we tested.) |
| Freeze Medium: | 90% FBS+10% DMSO |
| Culture Medium: | F12K+10%FBS+5 μg/ml puromycin+5 μg/ml blastcidin+600 μg/ml hygromycin |
| Mycoplasma Testing: | Negative |
| Storage: | Liquid nitrogen |
| Application(s): | Functional assay for CTR |
| Transducer: | β-Arrestin |
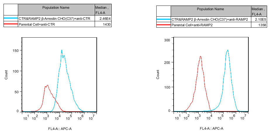
IV. Representative Data![]() Figure 2. Recombinant CTR&RAMP2 β-Arrestin CHO stably expressing CTR&RAMP2. ![]() Figure 3. Dose response of Agonists in CTR&RAMP2 β-Arrestin CHO(C37). |
|


