EGFR&ERBB3(HER3) MDA-MB-231
CBP74270
詢 價
留 言
產品描述
產品數據庫
| I. Background | |
|
表皮生長因子受體酪氨酸激酶抑制劑(EGFR TKI)已成為具有 EGFR 致敏突變的晚期 非小細胞肺癌 (NSCLC) 患者的標準治療方法,但通常在 10 至 14 個月之間出現耐藥性。 HER3 配體 heregulin (HRG)的過度表達通過增強腫瘤增殖和轉移能力進一步加劇 NSCLC 的侵襲性。HRG 介導的 HER3 激活導致下游 PI3K/AKT 通路信號傳導,促進細胞 存活,并賦予對 EGFR 靶向治療的耐藥性。與其更活躍的家族成員不同,HER3 缺乏內在 激酶活性,但在與其他受體(如 HER2、EGFR 和 MET)異二聚化后成為有效的信號轉導 實體。這些異二聚體充當復雜的分子開關,可以參與各種細胞內信號轉導級聯反應,有助 于形成強大而有彈性的增殖信號網絡,從而增強細胞承受靶向治療的能力。HER3 特異性 治療與 EGFR TKI 聯合治療可增強抗腫瘤作用,從而提高耐藥病例的客觀緩解率(ORR) 和延長總生存期(OS)。 |
|
| II. Description | |
|
EGFR&ERBB3(HER3) MDA-MB-231 細胞,在 MDA-MB-231 細胞的基 礎上,穩定表達人 EGFR 和人 HER3。
|
|
| III. Introduction | |
| Cell Line Name: | EGFR&ERBB3(HER3) MDA-MB-231 |
| Host Cell: | BA/F3 |
| Stability: | 16 passages (in-house test, that not means the cell line will be instable beyond the passages we tested.) |
| Application: | Anti-proliferation assay and PD assay |
| Freeze Medium: | 90% FBS+10% DMSO |
| Complete Culture Medium: | DMEM+ 10% FBS+2μg/ml puromycin+5μg/ml blasticidin |
| Mycoplasma Status: | Negative |
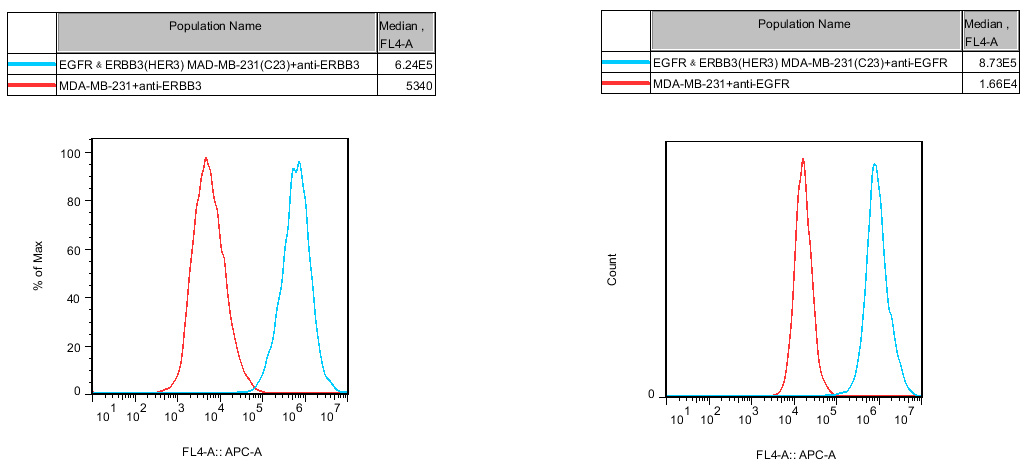
IV. Representative Data![]() Figure 1. Recombinant EGFR&ERBB3(HER3) MDA-MB-231 constitutively expressing EGFR&ERBB3. |
|
