IL6RA&IL6ST Dimerization CHO
CBP74258
| I. Background | |
|
細胞介素-6(Interleukin-6),也被稱為 IL6,一種四螺旋蛋白,是整合免疫應答中的 關鍵細胞因子。它由成纖維細胞、單核/巨噬細胞、T 淋巴細胞、B 淋巴細胞、上皮細胞、 角質形成細胞和各種腫瘤細胞產生。在正常細胞中,IL6 的產生可受多種因素誘導,包括 IL-1、TNF-a、PDGF、病毒感染、雙鏈 RNA 等。因此,IL-6 在急性炎癥反應中起關鍵作用。 |
|
| II. Description | |
|
IL6RA&IL6ST Dimerization CHO 報告基因藥靶模型很好的模擬了體內 IL6 的信號轉導過程,原理見下圖所示。
|
|
| III. Introduction | |
| Expressed gene: | IL6RA&IL6ST |
| Stability: | 32 passages (in-house test, that not means the cell line will be instable beyond the passages we tested.) |
| Freeze Medium: | 90% FBS+10% DMSO |
| Culture Medium: | F12K+10%FBS+5 μg/ml blasticidin+5 μg/ml puromycin |
| Mycoplasma Testing: | Negative |
| Storage: | Liquid nitrogen |
| Application(s): | Functional(Report Gene) Assay |
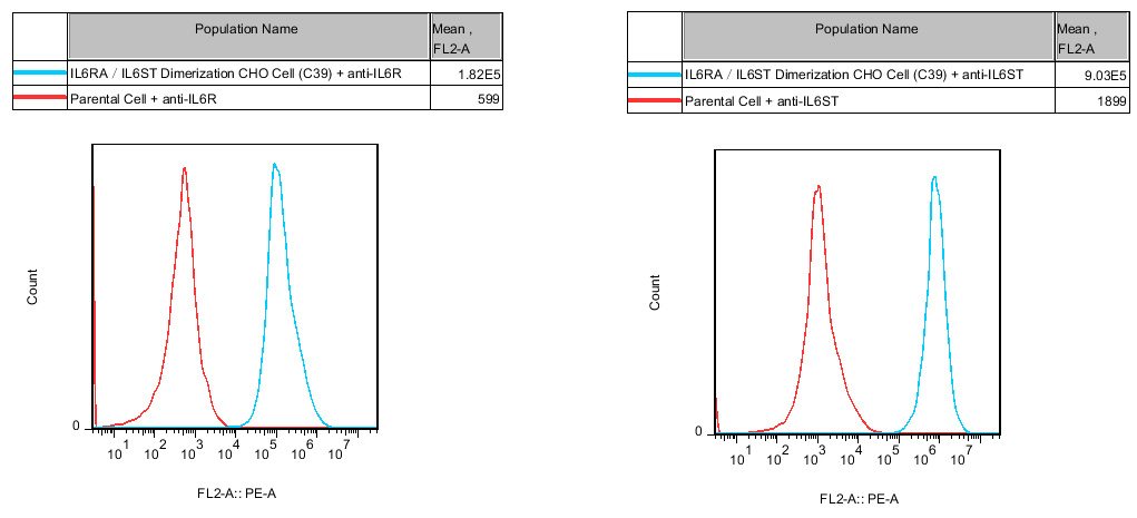
| IV. Representative Data | |
|
Figure 1. Recombinant IL6RA&IL6ST Dimerization CHO constitutively expressing IL6RA&IL6ST. |
|


