hTSLP Effector Reporter Cell
CBP74171
詢 價
索取Protocol
產品描述
產品數據庫
| I. Background | |
| 細胞因子胸腺基質淋巴生成素(TSLP)是一種 I 型細胞因子,是Ⅱ型免疫應答的關鍵介 質和 T 輔助 2 (TH2)細胞介導的疾病的啟動子,包括哮喘和特應性皮炎(AD)。它通過激活 抗原呈遞細胞在 T 細胞群的成熟中發揮重要作用。多種觸發因素可誘導 TSLP 的產生,包 括損傷、TLR2 (toll 樣受體 2)、TLR3 和 NOD2 的配體、蠕蟲、細菌和病毒感染、蛋白酶 (如胰蛋白酶和木瓜蛋白酶)和促炎細胞因子。 TSLP 結合由 TSLPR(胸腺基質淋巴生成素受體)和 IL-7 受體α鏈(IL-7Rα)組成的異二聚 體受體,啟動由 JAK1 和 JAK2 介導的級聯磷酸化。隨后 STAT5A 和 STAT5B 的募集和激活 最終導致 Th2 相關細胞因子 IL-4、IL-5、IL-9 和 IL-13 的轉錄和產生。 |
|
| II. Description | |
TSLP Effector Reporter Cell 報告基因藥靶模型很好的模擬了體內 TSLP 的信號轉導過程,原理見下圖所示。![]() Figure 1. TSLP Effector Reporter Cell 細胞模型原理圖 |
|
| III. Introduction | |
| Expressed gene: | TSLP |
| Stability: | 32 passages (in-house test, that not means the cell line will be instable beyond the passages we tested.) |
| Freeze Medium: | 90% FBS+10% DMSO |
| Culture Medium: |
DMEM + 10% FBS+200 μg/ml Hygromycin B+2 μg/ml Puromycin+10 μg/ml Blasticidin
|
| Mycoplasma Testing: | Negative |
| Storage: | Liquid nitrogen |
| Application(s): | Functional(Report Gene) Assay |
| IV. Representative Data | |
|
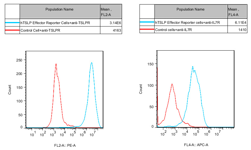
Figure 2. Recombinant hTSLP Effector Reporter Cell constitutively expressing TSLPR and IL7R. |
|
|
Figure 3. Dose Response of Recombinant Human TSLP in hTSLP Effector Reporter Cells (C10). |
|
|
Figure 4. Inhibition of hTSLP induced Reporter Activiy by hTSLP Neutralizing Ab in TSLP Effector Reporter Cell(C10). |
|



